• Предмет: Алгебра
  • Автор: Дашеньк0о
  • Вопрос задан 10 лет назад

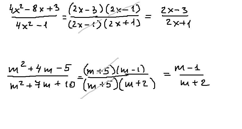
Сократите дроби:
4х(в квадрате) - 8х +3                         m(в квадрате) + 4m - 5
___________________      ;                ______________________
4х(в квадрате) - 1                              m(в квадрате) + 7m + 10

Ответы

Ответ дал: esmilya
0
Если понравилось решение - нажимай "спасибо" и "лучший" (рядом с кнопкой "спасибо") :)
Приложения:
Вас заинтересует