• Предмет: Алгебра
  • Автор: 78989
  • Вопрос задан 10 лет назад

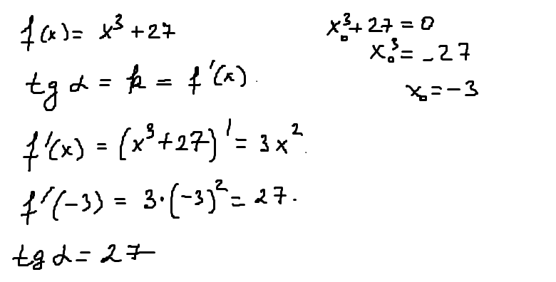
найдите тангенс угла наклона касательной к графику функции F(x)=x^3+27 в точке пересечения этого графика с осью абсцисс

Ответы

Ответ дал: esmilya
0
Если понравилось решение - нажимай "спасибо" и "лучший" (рядом с кнопкой "спасибо") :)
Приложения:
Вас заинтересует