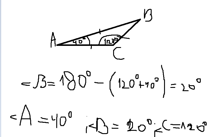
Помогите решить задачу:дано-треугольник АВС;
АВ>ВС>АС;
Один из углов треугольника АВС 120 градусов другой 40 градусов.
Найти:угол А,В,С.
Ответы
Ответ дал:
0
достаточно просто,думаю облегчил задачу
Приложения:
Вас заинтересует
3 года назад
3 года назад
8 лет назад
8 лет назад
11 лет назад
11 лет назад
11 лет назад