• Предмет: Математика
  • Автор: Каріна88
  • Вопрос задан 10 лет назад

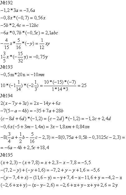
З 192 по 197... допоможіть :) 

Приложения:

Ответы

Ответ дал: triolana
0
===============================================
Приложения:
Ответ дал: Каріна88
0
спасибо)
Вас заинтересует