• Предмет: Алгебра
  • Автор: Аноним
  • Вопрос задан 10 лет назад

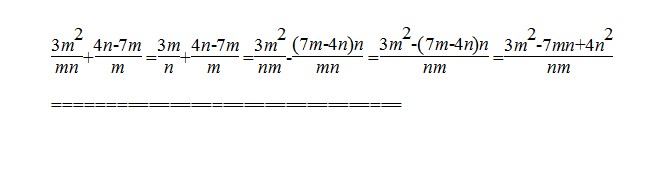
 frac{3m^{2}}{mn} + frac{4n-7m}{m} Виконайте додавання 3m^2/mn+4n-7m/m

Ответы

Ответ дал: triolana
0
=====================================
Приложения:
Вас заинтересует