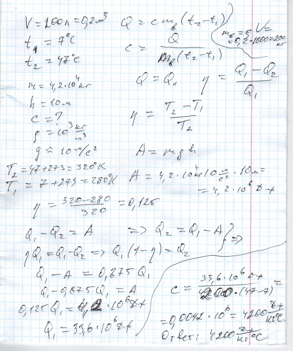
Чтобы принять ванну, необходимо нагреть воду объемом
V = 200 л от температуры tx = 7 °С до температуры t2 = = 47 °С. Если такое количество теплоты сообщить идеальной тепловой машине, работающей при температуре нагревателя t2 и температуре холодильника tl9 то с помощью
этой машины можно поднять груз массой пг = 4,2 • 104 кг на высоту Н = 10 м. Определите по этим данным удельную теплоемкость воды. Плотность воды р = 103 кг/м3. Ускорение свободного падения g ~ 10 м/с2.
Ответы
Ответ дал:
0
смотри файлик...............
Приложения:

Вас заинтересует
2 года назад
2 года назад
8 лет назад
10 лет назад
10 лет назад
10 лет назад