• Предмет: Алгебра
  • Автор: artyrrik21
  • Вопрос задан 10 лет назад

Помогите с алгеброй, буду благодарен!!!!

Приложения:

Ответы

Ответ дал: dasha00000000000
0
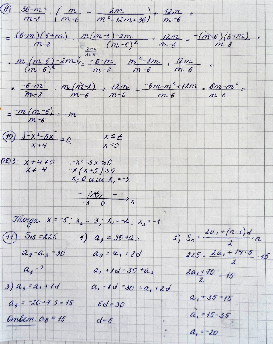
Решение прикреплено файлами!
Приложения:
Вас заинтересует