• Предмет: Алгебра
  • Автор: tanyaluna
  • Вопрос задан 11 лет назад

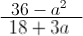
Сократите дробь     :

Приложения:

Ответы

Ответ дал: Гоша68
0

(36-a^2)/(18+3a)=(6-a)(6+a)/3(6+a)=(6-a)/3

Ответ дал: Карин4икЛяМур
0

(36-a^2)/(18+3a)=(6^2-a^2)/3(6+a)=(6-a)(6+a)/3(6+a)=(6-a)/3

Вас заинтересует