• Предмет: Математика
  • Автор: Elena25071997
  • Вопрос задан 10 лет назад

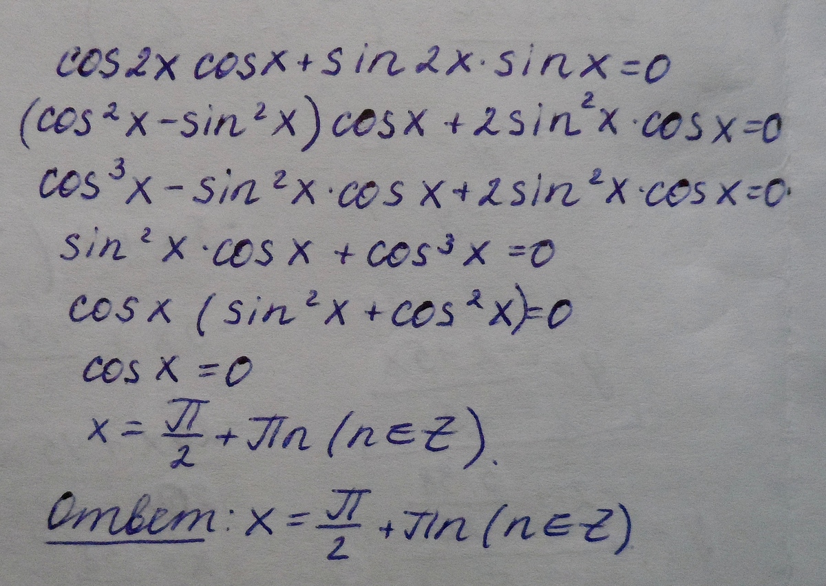
1) cos 2х cos х + sin 2 х sin х=0

Ответы

Ответ дал: dasha00000000000
0
Решение прикреплено файлом!
Приложения:
Вас заинтересует