• Предмет: Алгебра
  • Автор: borisova2012
  • Вопрос задан 10 лет назад

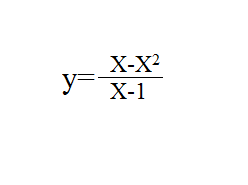
 Постройте график функции и определите, при каких значениях Р прямая У=Р не имеет с этим графиком точек пересечения.
_______________________________________________________________

График я могу построить, а вот определить , при каких значениях Р прямая У=Р не имеет с этим графиком точек пересечения не понимаю как.
Объясните подробно, пожалуйста)

 

 P.S. в ответе должно быть P=-1

 

 

Приложения:

Ответы

Ответ дал: mappku
0
y=frac{x-x^2}{x-1}\
D(f):x-1neq0;  xneq1\
y=frac{x-x^2}{x-1}=frac{x(1-x)}{x-1}=frac{-x(x-1)}{x-1}=-x;\
E(f):  y=-x;\
yneq-(1)=-1;
y=P;\
при Р=-1, мы не имеем решений, так как наша фунция не существует при х=1, она не имеет значения -1
Вас заинтересует