ДРУЗЬЯ!!!
КТО РЕШИТ ВСЕ ПОЛУЧИТ :
1)СПС
2)НАИЛУЧШЕЕ РЕШЕНИЕ
3)5 ЗВЕЗД
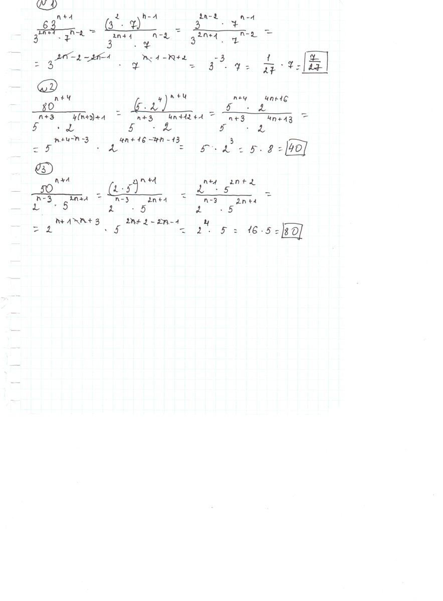
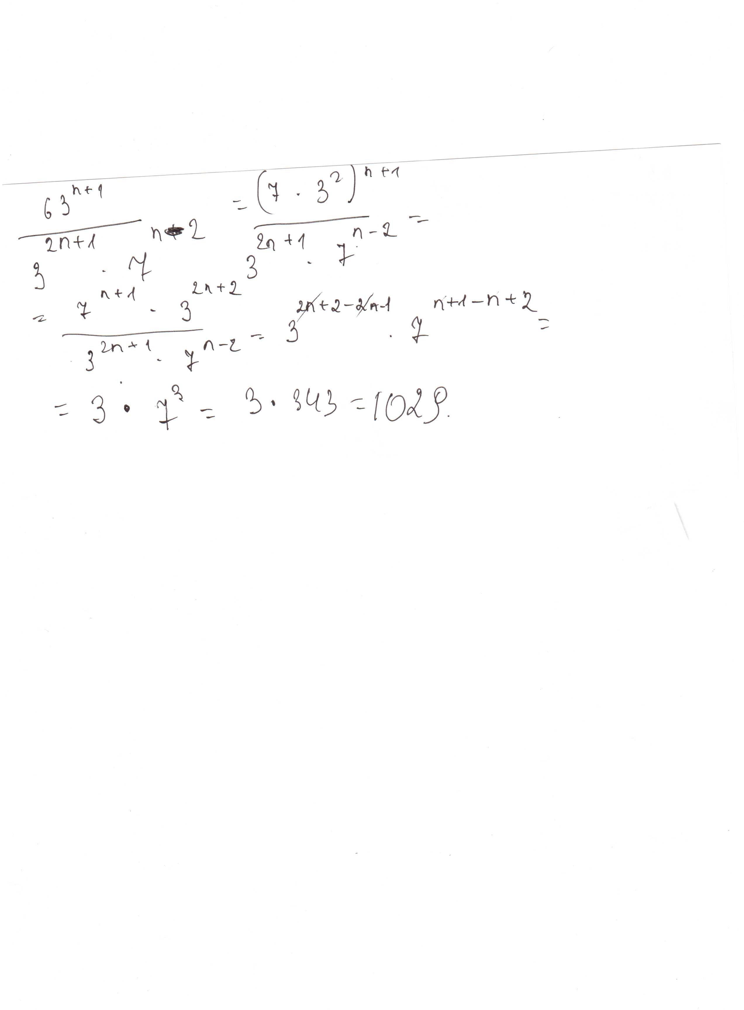
№1
числитель 63^n+1
знаменатель 3^2n+1*7^n-2
№2
числитель 80^n+4
знаменатель 5^n+3*2 в степени 4(n+3)+1
№3
числитель 50^n+1
знаменатель 2^n-3*5^2n+1
ВЕЗДЕ СОКРАТИТЬ ДРОБЬ!!!!
СПАСИБО ЗА ПОНИМАНИЕ!
Ответы
.....................................................................


1) 63^n+1 63 63
------------------ = ------------ = --------- = 1^n-2
3^2n+1 * 7^n-2 3^2*7^n-2 63^n-2
2) 80^n+4 80^n+1
----------------------- = ------------- = 8^4n+12
5^n+3 * 2^4(n+3)1 5*2^4n+13
3) 50^n+1 50 50
------------------ = ------------------ = ---------- = 5^2n-1
2^n-3 * 5^2n+1 2^n-2 * 5^2n+1 10^2n-1

