• Предмет: Математика
  • Автор: Jendos
  • Вопрос задан 10 лет назад

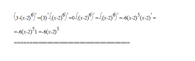
найти производную 3-(x-2)^6

Ответы

Ответ дал: triolana
0
========================================
Приложения:
Ответ дал: Jendos
0
спасибо
Вас заинтересует