• Предмет: Алгебра
  • Автор: Vishnu99am
  • Вопрос задан 10 лет назад

Помогите!!! Прошу вас!!! 8 класс
Очень надо!!! Спасибо

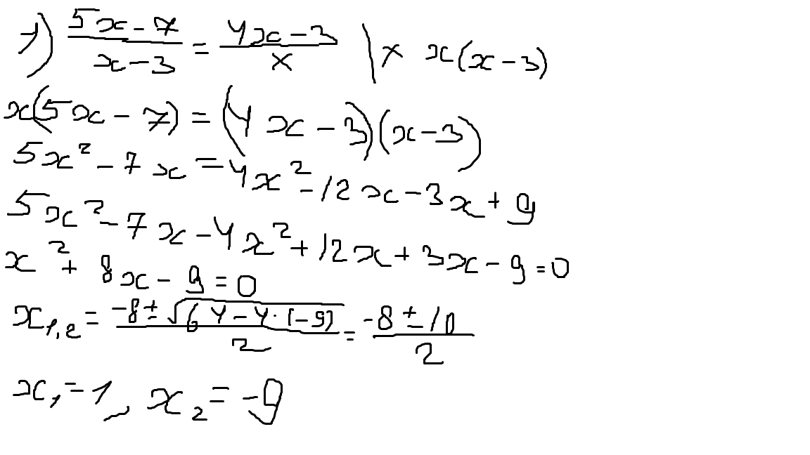
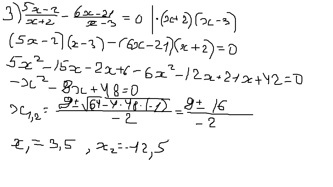
Приложения:

Ответы

Ответ дал: Ekaterina1819
0
Получится вот так :)
Приложения:
Ответ дал: Vishnu99am
0
спасибо вам!!
Ответ дал: Ekaterina1819
0
пожалуйста!)
Вас заинтересует