вот это решите) можно просто объяснить как начать и нужно ли ОДЗ в этом случае? потому что как я знаю в таких уравнениях оно даже не нужно)
Приложения:
Ответы
Ответ дал:
0
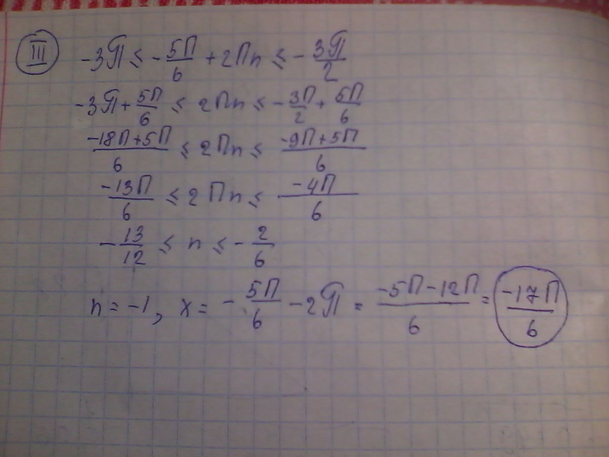
О.Д.З.- это ограничивающие действия: деление, корень, тангенс, котангенс. Здесь ничего из этого нет, значит ОДЗ не нужно.
Вот собственно и все :)
Вот собственно и все :)
Приложения:
Вас заинтересует
3 года назад
3 года назад
8 лет назад
11 лет назад
11 лет назад
11 лет назад
11 лет назад