• Предмет: Математика
  • Автор: PNikolaeva
  • Вопрос задан 10 лет назад

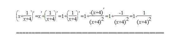
Пожалуйста, помогите найти производную!

Приложения:

Ответы

Ответ дал: triolana
0
====================================
Приложения:
Вас заинтересует