• Предмет: Алгебра
  • Автор: deni290
  • Вопрос задан 10 лет назад

Пожалуйста помогите вот:найти наименьшее значение функции : y=2^x в квадрате +16x+19

Ответы

Ответ дал: Kapel
0
находим производную функции : y'=(2^x+16x+19)'=ln2 *2^x+16
ln2*2^x+16=0
получается что стационарных и критических точек нет,далее решения нет

Приложения:
Ответ дал: deni290
0
Объясните как вы это решили
Ответ дал: deni290
0
словами а не знаками если можно
Ответ дал: Kapel
0
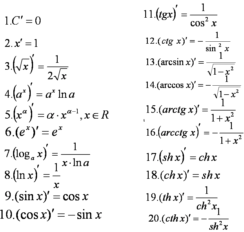
решила по формуле производных ,то есть нашла производную каждого (пример: производная 16x это будет 16 ),после нахождения всей производной надо приравнять её к 0 ,далее найти стационарные и критические точки
Ответ дал: Kapel
0
прикрепила картинку производных,посмотри
Вас заинтересует