• Предмет: Физика
  • Автор: arter
  • Вопрос задан 11 лет назад

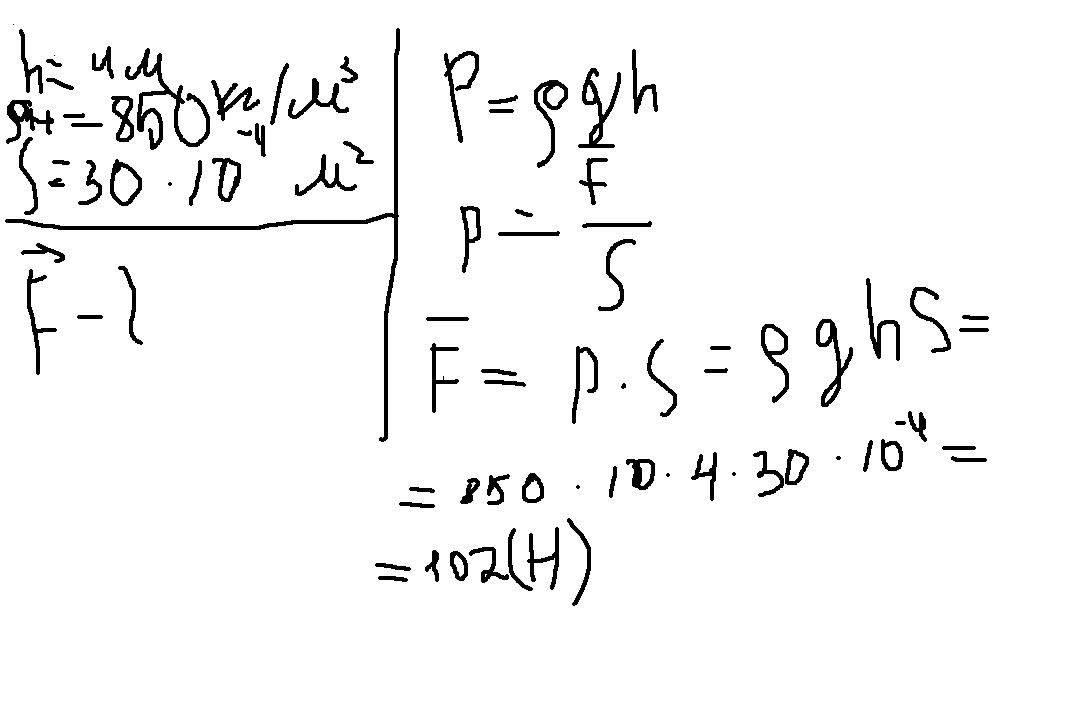
В цистерне, заполненой нефтью, на глубине 4м поставлен кран, площадью 30см2. С какой силой нефть давит на кран?

Ответы

Ответ дал: zhusa
0

 

               решение

Приложения:
Вас заинтересует