• Предмет: Физика
  • Автор: Petrovaoka16
  • Вопрос задан 11 лет назад

Найти растояние от линзы до предмета , если фокусное растояние = 10 см , а растояник от линзы до изображения 1м , и построить изображение

Ответы

Ответ дал: milana0909
0

1/d=1/F-1/f=1/10-1/100=0.09

d-растояние от линзы до предмета

f-растояник от линзы до изображения

F- фокусное растояние

Ответ дал: zhusa
0

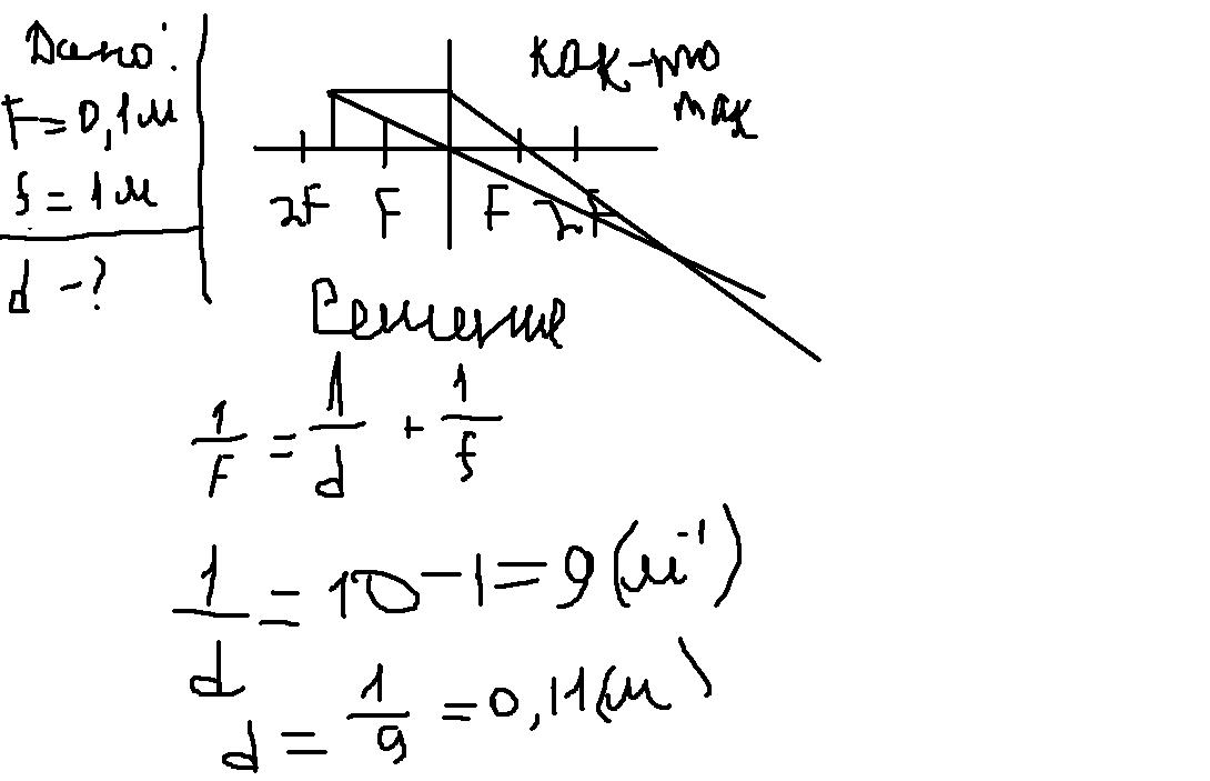
                                           решение

Приложения:
Вас заинтересует