• Предмет: Физика
  • Автор: eduardtsutsaev
  • Вопрос задан 11 лет назад

Пажалуйста решите !!!Физка!                           

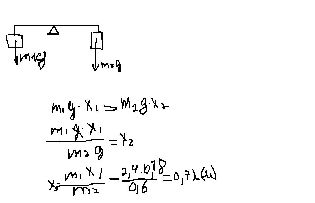
 К концам рычага,находящегося в равновесии ,подвешены грузы 0,6 кг и 2,4кг.Расстояние от точки  опоры до большей силы 18 см .Определите длину рычага.

Ответы

Ответ дал: zhusa
0

                             длинна рычагаL=0.72+0.18=0.9(м)

Приложения:
Ответ дал: cheer
0

правило рычага L1*F1 = L2*F2

отсюда L2 = L1 * F1 / F2 = 18 см * 2.4 кг / 0.6 кг = 72 см

Приложения:
Вас заинтересует