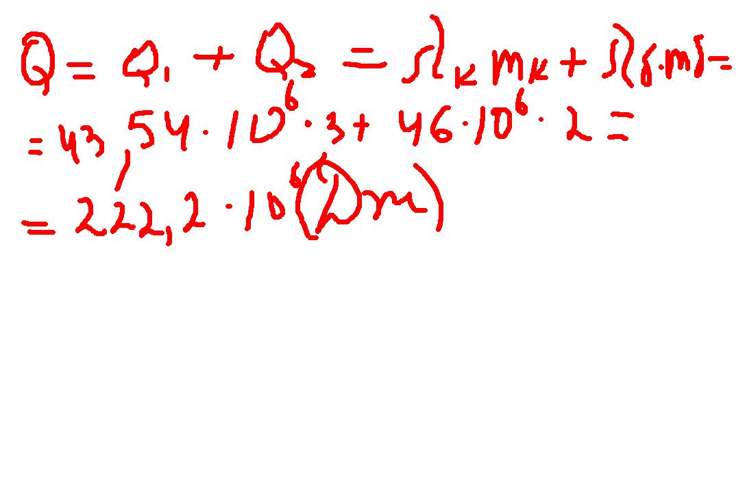
какое количество теплоты выделится при полном сгорании топлива ,состоящего из смеси бензина массой 2 кг и керосина массой 3 кг?
Ответы
Ответ дал:
0
решение
Приложения:

Вас заинтересует
2 года назад
2 года назад
8 лет назад
8 лет назад
10 лет назад
10 лет назад