• Предмет: Математика
  • Автор: nastya1903
  • Вопрос задан 11 лет назад

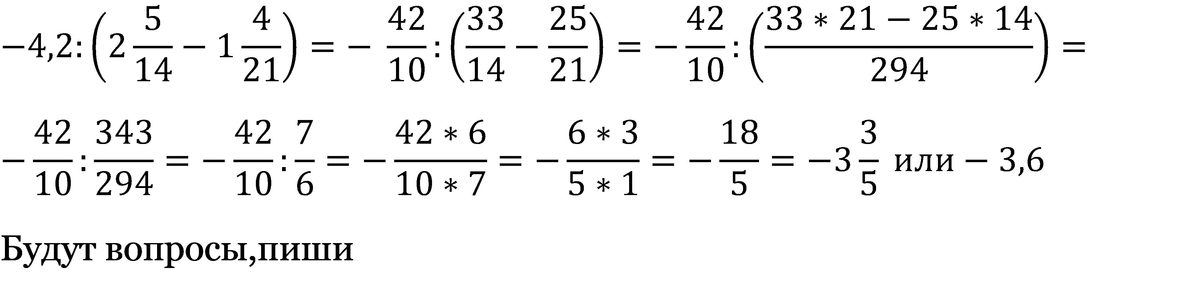
-4,2:(2 5/14 - 1 4/21)=? помогите решить..там где написаны числа через / это значит обычная дробь)

Ответы

Ответ дал: triolana
0

файл

==================== 

Приложения:
Вас заинтересует