• Предмет: Алгебра
  • Автор: Julia852
  • Вопрос задан 11 лет назад

Теплоход прошел 170 км по течению реки на 2 часа быстрее чем 210 км против течения реки, собственная скорость теплохода 32 км / час. Найти скорость течения.

 

 

Помогите, пожалуйста!!!

Ответы

Ответ дал: русал
0

Пусть х-Vтечения реки.Vпо теч.(х+32).Vпртив теч.(32-х).

t1(пароход затратил по течению)170/(х+32).

t2(пароход затратил против теч)210/(32-х).

По условию t2-t1=2(ч)

Составим уравнение:

210/(32-х)-170/(х+32)=2

210(32+х)-170(32-х)=2(1024-x^2)

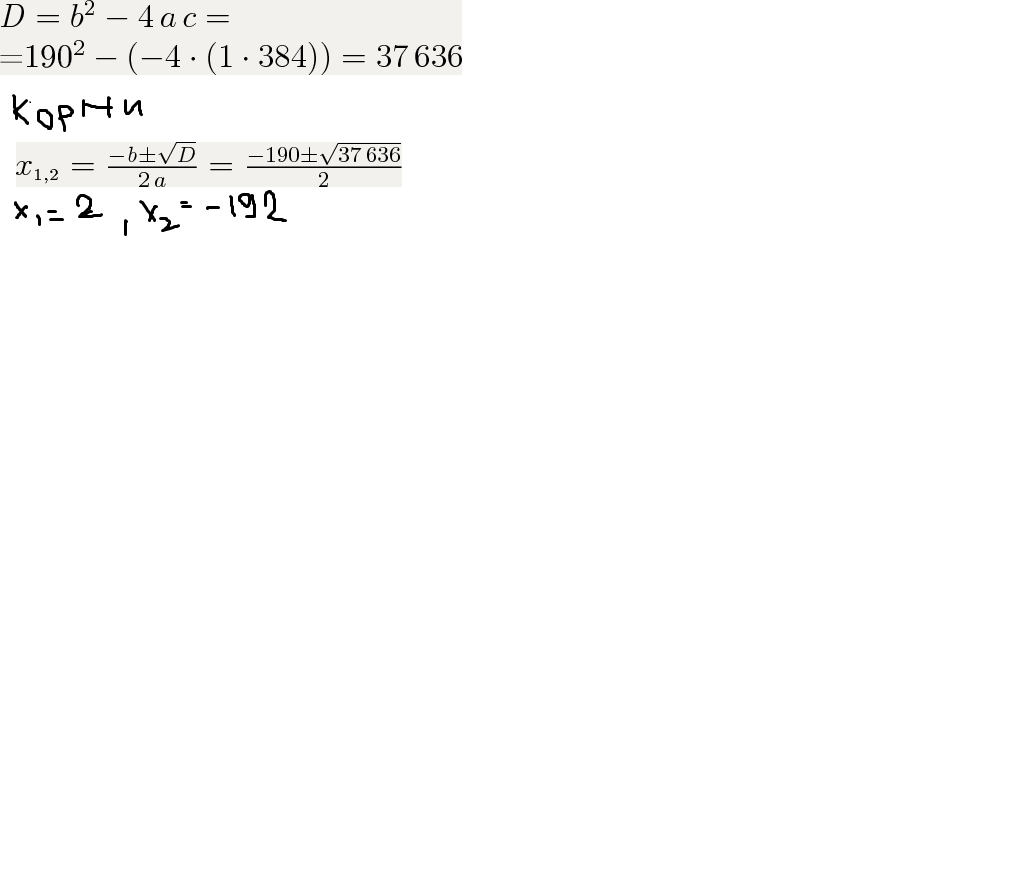
х^2+190x-384=0

смотри файл

 

x1=-190+194/2=2(км/ч)V течения реки

x2=-192 не удв.услов.задачи.

ответ:2(км/ч)

Приложения:
Ответ дал: TANYSHIK
0

Пусть скорость течения реки х км/ч, тогда скорость теплохода по течпению (32+х)км/ч, и время движения по течению 170/(32+х) ч. скорость теплохода против течени (32-х)км/ч, время затраченное на движение против течения равно 210/(32-х)км/ч

210/(32-х)-170(32+х)=2

210*(32+х)-170*(32-х)=2(32+х)(32-х)

х²+190х-384=0

х=2 км/ч

Приложения:
Вас заинтересует