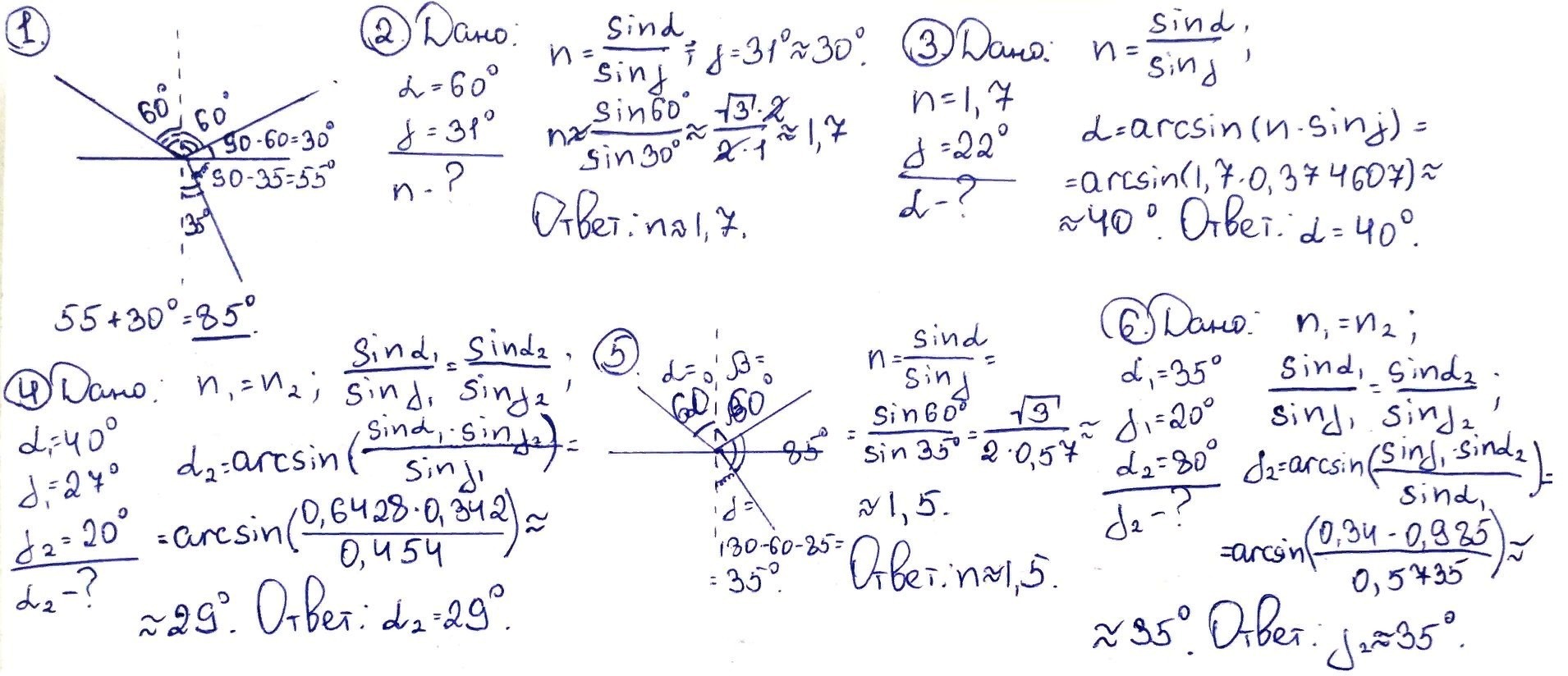
Задача 1. Угол падения светового луча на границу раздела двух сред равен 60°. Преломлённый луч составляет с нормалью угол 35°. Определите в градусах угол между отражённым и преломлённым лучами. Задача 2. Световой луч падает под углом 60° на границу раздела воздух–стекло, а преломлённый луч составляет угол 31° с нормалью. Определите показатель преломления стекла. Задача 3. Луч света переходит из воды в стекло с показателем преломления 1,7. Определите угол падения луча, если угол преломления равен 22°. Задача 4. Луч света падает на поверхность жидкости из воздуха под углом 40° и преломляется под углом 27° . При каком угле падения луча угол преломления будет равен 20°? Задача 5. Угол падения светового луча на границу раздела воздух-стекло равен 60°. При этом угол между отраженным и преломленным лучами равен 85° . Определите показатель преломления стекла. Задача 6. Луч света падает на поверхность раздела двух прозрачных сред под углом 35° и преломляется под углом 20°. Чему равен угол преломления, если луч падает на эту границу под углом 80°.
Ответы
Ответ дал:
0
Решение во вложении.
Приложения:

Вас заинтересует
2 года назад
2 года назад
8 лет назад
10 лет назад