Ответы
Ответ дал:
0
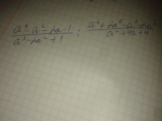
(a^4-(a+1)²)/(a²(a-1)-(a-1)(a+1))=(a²-a-1)(a²+a+1)/(a-1)(a²-a-1)=(a²+a+1)/(a-1)
(a³(a³-1)+2a²(a³-1))/(a+2)²=(a³-1)(a³+2a²)/(a+2)²=(a³-1)*a²(a+2)/(a+2)²=(a³-1)*a²/(a+2)
(a²+a+1)/(a-1):(a³-1)*a²/(a+2)=(a²+a+1)*(a+2)/(a-1)*(a-1)(a²+a+1)*a²=(a+2)/(a³-a²)
(a³(a³-1)+2a²(a³-1))/(a+2)²=(a³-1)(a³+2a²)/(a+2)²=(a³-1)*a²(a+2)/(a+2)²=(a³-1)*a²/(a+2)
(a²+a+1)/(a-1):(a³-1)*a²/(a+2)=(a²+a+1)*(a+2)/(a-1)*(a-1)(a²+a+1)*a²=(a+2)/(a³-a²)
Вас заинтересует
3 года назад
3 года назад
8 лет назад
8 лет назад
11 лет назад
11 лет назад
11 лет назад