Для нагревания тела от 0 до 100 градусов потратили 10 кДж энергии.Из какого материала изготовлено тело,если его масса 0,4кг.Я знаю точно,что это серебро.Но как записать решение этой задачи?
Ответы
Ответ дал:
0
В интернете посмотри теплоемкость серебра
Приложения:

Ответ дал:
0
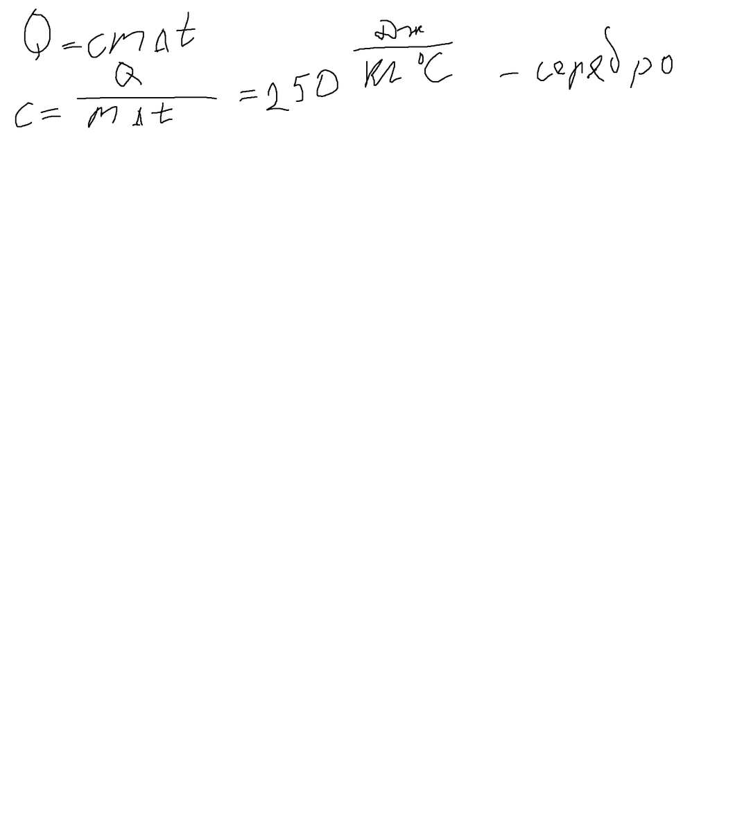
удельная теплоемкость(с) равно 250=> что это серебро
Приложения:

Вас заинтересует
2 года назад
8 лет назад
8 лет назад
10 лет назад