• Предмет: Алгебра
  • Автор: katenok2013
  • Вопрос задан 10 лет назад

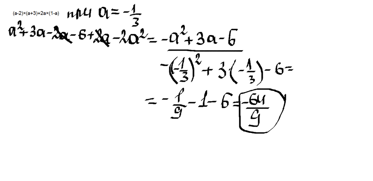
Упростите выражение:
(a-2)×(a+3)+2a×(1-a) и найдите его значение при a=- frac{1}{3}

Ответы

Ответ дал: Аноним
0
решение во вложении.
Приложения:
Вас заинтересует