Ответы
Ответ дал:
0
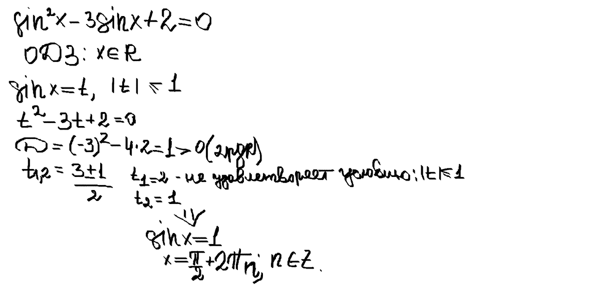
1)ОДЗ-область допустимых значений,в данном уравнении х-любое число.
2)Вводим новую переменную "t".
3)Решаем квадратное уравнение.Находим корни.
4)Смотрим на ОДЗ.
5)Переходим к старой переменной "sinx"
6)Находим "х".
Решение во вложении.
2)Вводим новую переменную "t".
3)Решаем квадратное уравнение.Находим корни.
4)Смотрим на ОДЗ.
5)Переходим к старой переменной "sinx"
6)Находим "х".
Решение во вложении.
Приложения:

Вас заинтересует
2 года назад
2 года назад
7 лет назад
7 лет назад
10 лет назад
10 лет назад