• Предмет: Алгебра
  • Автор: kindaswag
  • Вопрос задан 10 лет назад

1) Оцените значение выражения:
0,2x - 4
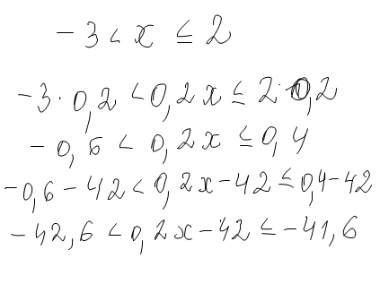
2) Известно, что .. - 3 < x ≤ 2

Ответы

Ответ дал: sgnhome
0
Решение смотрите 
в файле
Приложения:
Вас заинтересует