• Предмет: Математика
  • Автор: Аноним
  • Вопрос задан 10 лет назад

умножить одну третью на 100

Ответы

Ответ дал: Inna96
0
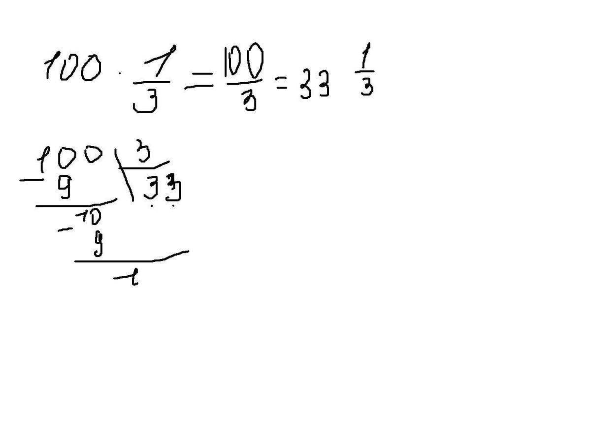
100 * на 1/3=33 1/3
ответ
если что смотрите приложение
Приложения:
Ответ дал: karinaklev
0
1/3 УМНОЖИТЬ НА 100 = 300
3*100
Приложения:
Вас заинтересует