Ответы
Ответ дал:
0
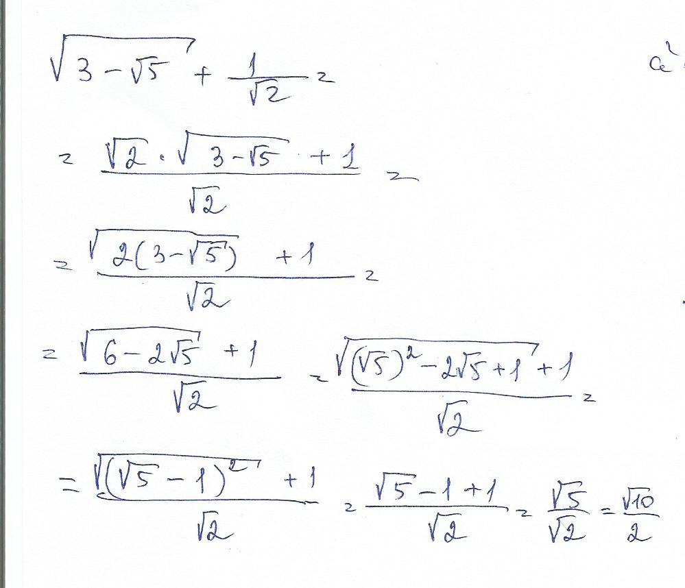
Смотри решение на картинке внизу
Приложения:

Ответ дал:
0
А что разве так можно? Корень из шести представить как корень из пяти и корень одного?
Ответ дал:
0
ясно
Вас заинтересует
2 года назад
2 года назад
8 лет назад
8 лет назад
10 лет назад