• Предмет: Алгебра
  • Автор: keksikk1
  • Вопрос задан 10 лет назад

помогите пожалуйстаа

Приложения:

Ответы

Ответ дал: Cawkaaa
0

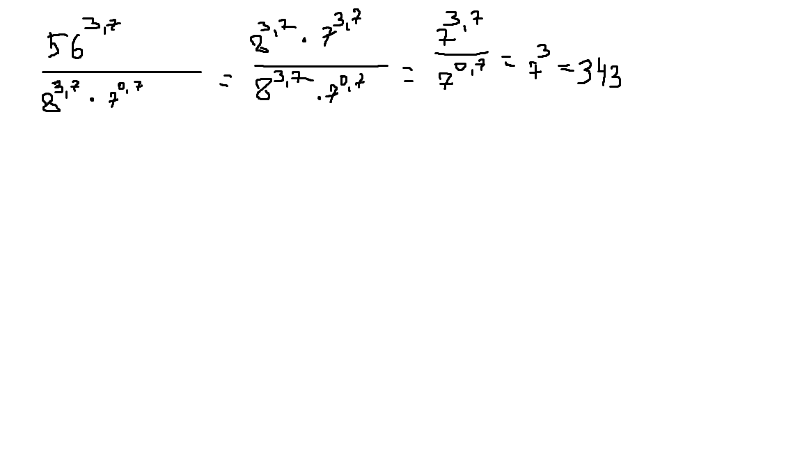
По-моему так...........
Приложения:
Ответ дал: OSMANOVA
0
. . . . . . . . . . . . . . . . .
Приложения:
Вас заинтересует