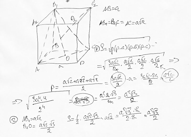
Очень нужно,помогите пожалуйста!!!.ребро куба abcda1b1c1d1 равно а. постройте сечение куба проходящее через точки В1 , А , С и найдите его площадь.
Ответы
Ответ дал:
0
Не знаю, но мне кажется. что так:) На диагональ AC1 не обращай внимания... я чет тупанул в начале:)
Приложения:

Вас заинтересует
8 лет назад
10 лет назад