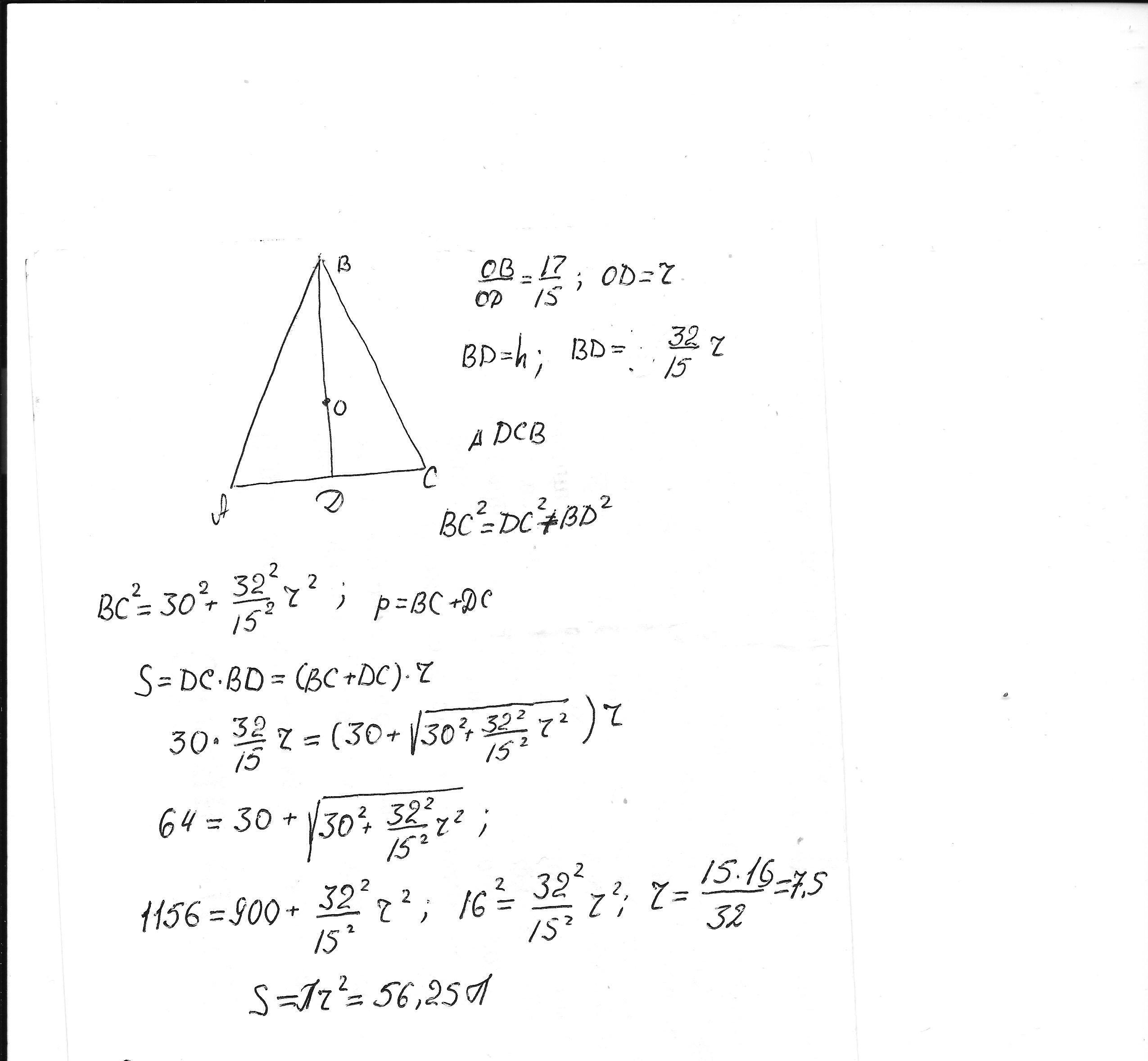
В равнобедренном треугольнике центр вписанного круга делит высоту в отношении 17:15 .Основание равно 60 см,найдите площадь этого круга
Ответы
Ответ дал:
0
решение задачи в приложении........................
Приложения:

Вас заинтересует
2 года назад
8 лет назад
10 лет назад
10 лет назад
10 лет назад