Ответы
Ответ дал:
0
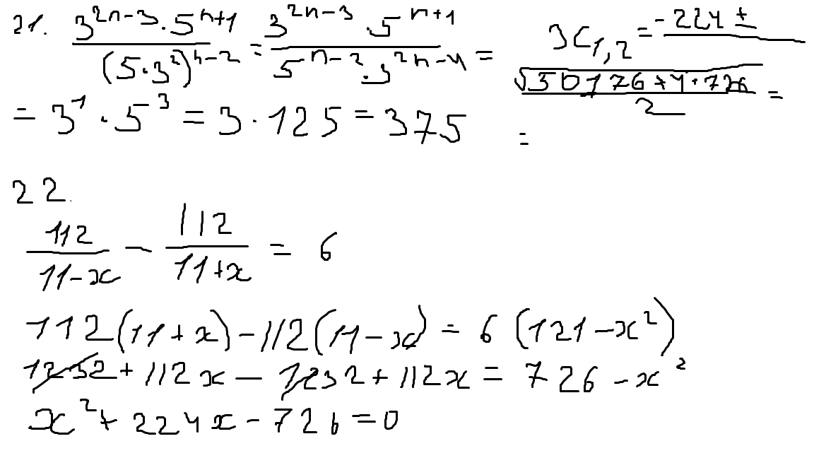
Блин, вообщем у меня у второй задачи решение к концу не получается. Проверь, может ошибка есть, а первое правильное.
Приложения:

Ответ дал:
0
Спасибо! С задачей разобрался, у меня наоборот с составлением уравнения траблы были. 21 не понятно, особенно с разложением знаменателя. Всегда проблемы были с таким типом задания.
Ответ дал:
0
45=5*9, 9=3^2, 45=5*3^2. Вот так получается
Вас заинтересует
2 года назад
2 года назад
7 лет назад
7 лет назад
10 лет назад
10 лет назад