В треугольнике ABC угол В в1,5 раза больше угла А,а угол С на 12 градусов больше угла В . Угол В равен ???
Ответы
Ответ дал:
0
№1 Берём угол А за Х (икс)...тогда составим уравнение...
х+1.5х+(1.5х+12)=180 (по теореме о сумме углов треугольника)
4х=168
х=42
угол В равен 42*1.5=63
Ответ дал:
0
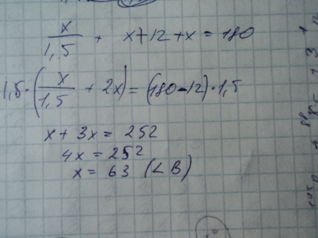
пусть угол В=х, тогда
Приложения:

Вас заинтересует
2 года назад
2 года назад
8 лет назад
8 лет назад
10 лет назад
10 лет назад
10 лет назад
10 лет назад