• Предмет: Алгебра
  • Автор: swetochekk
  • Вопрос задан 10 лет назад

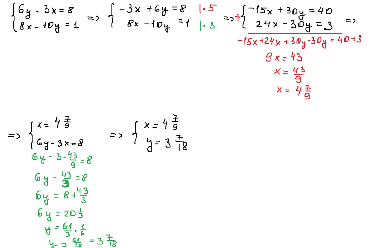
решите систему уравнений

 6y-3x=8

8x-10y=1

Ответы

Ответ дал: esmilya
0
Если понравилось решение - нажимай "спасибо" и "лучший" (рядом с кнопкой "спасибо") :)
Приложения:
Вас заинтересует