Ответы
Ответ дал:
0
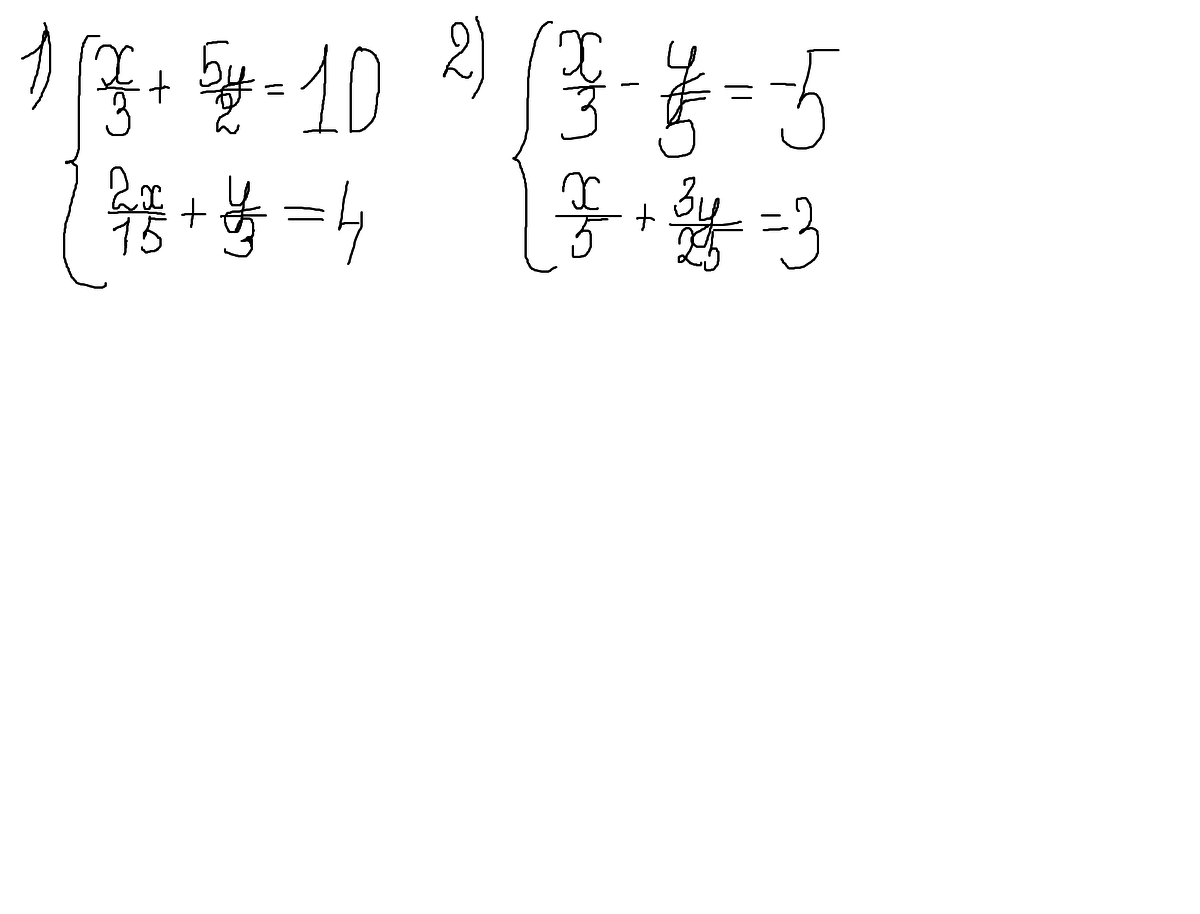
1). 1/3x=10-5/2y
x=(10-5/2y)*3
x=30-15/2y
2/15*30-2/15*15/2y+y/3=4
4-y+y/3=4
-2/3y=0
y=0
x=30-0
x=30
Проверка
30/3+15*0/2=10
10=10
2)
1/3x=y/5-5
x=(y/5-5)*3
(3/5y-15)*1/5+3/25y=3
6/25y=6
y=25
x=(25/5-5)*3
x=0
Проверка
0/3-25/5=-5
-5=-5
x=(10-5/2y)*3
x=30-15/2y
2/15*30-2/15*15/2y+y/3=4
4-y+y/3=4
-2/3y=0
y=0
x=30-0
x=30
Проверка
30/3+15*0/2=10
10=10
2)
1/3x=y/5-5
x=(y/5-5)*3
(3/5y-15)*1/5+3/25y=3
6/25y=6
y=25
x=(25/5-5)*3
x=0
Проверка
0/3-25/5=-5
-5=-5
Вас заинтересует
3 года назад
8 лет назад
11 лет назад
11 лет назад
11 лет назад