• Предмет: Алгебра
  • Автор: Надина15
  • Вопрос задан 10 лет назад

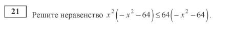
Решите неравенство. Нужно очень!

Приложения:

Ответы

Ответ дал: fedinajulia
0
х²·(-х²-64) ≤ 64·(-х²-64)
-х⁴-64х²≤-64х²-64
-х⁴≤-64х²
х²≥64
х≥±8
Вас заинтересует