• Предмет: Алгебра
  • Автор: ЮлияМарт
  • Вопрос задан 11 лет назад

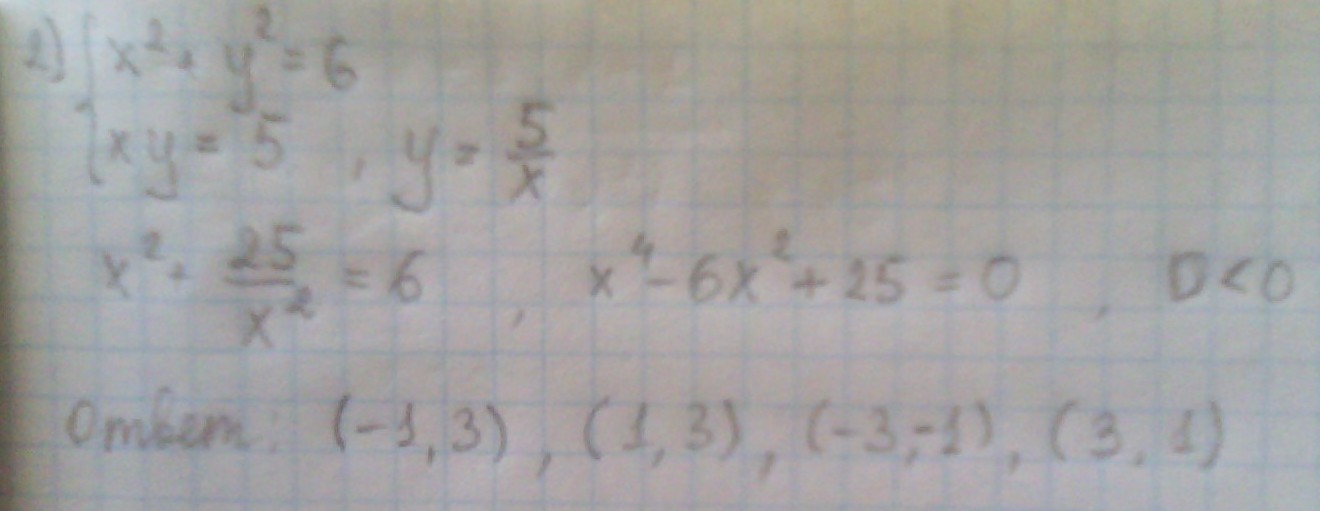
решить систему x^4+6x^2y^2+y^4=136 И x^3y+xy^3=30

Ответы

Ответ дал: Аноним
0

Решение в нижеприведенном вложении

Приложения:
Вас заинтересует