• Предмет: Алгебра
  • Автор: aмuна
  • Вопрос задан 11 лет назад

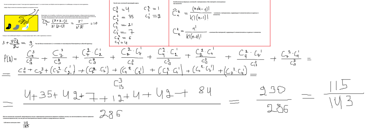
в ящике лежат 2 белых носка и4 серых носка и 7 черных носка. найдите вероятность того что из трех случайно выбранных носков хотя бы два окажутся одного цвета

Ответы

Ответ дал: yulyasssik
0

всего 13 носков

пар:6 (2 носка одного цвета)
3/6=1/2=0,5 

Ответ дал: roperd
0

Решение в картинке... Пишите, если где не можете понять или, если я ненароком ошибся)

Приложения:
Вас заинтересует