• Предмет: Математика
  • Автор: Beepbeep1amjeep
  • Вопрос задан 11 лет назад

Легкое задание подставить значение и посчититать!

помогите очень срочно нужно!

Приложения:

Ответы

Ответ дал: Evreika77
0

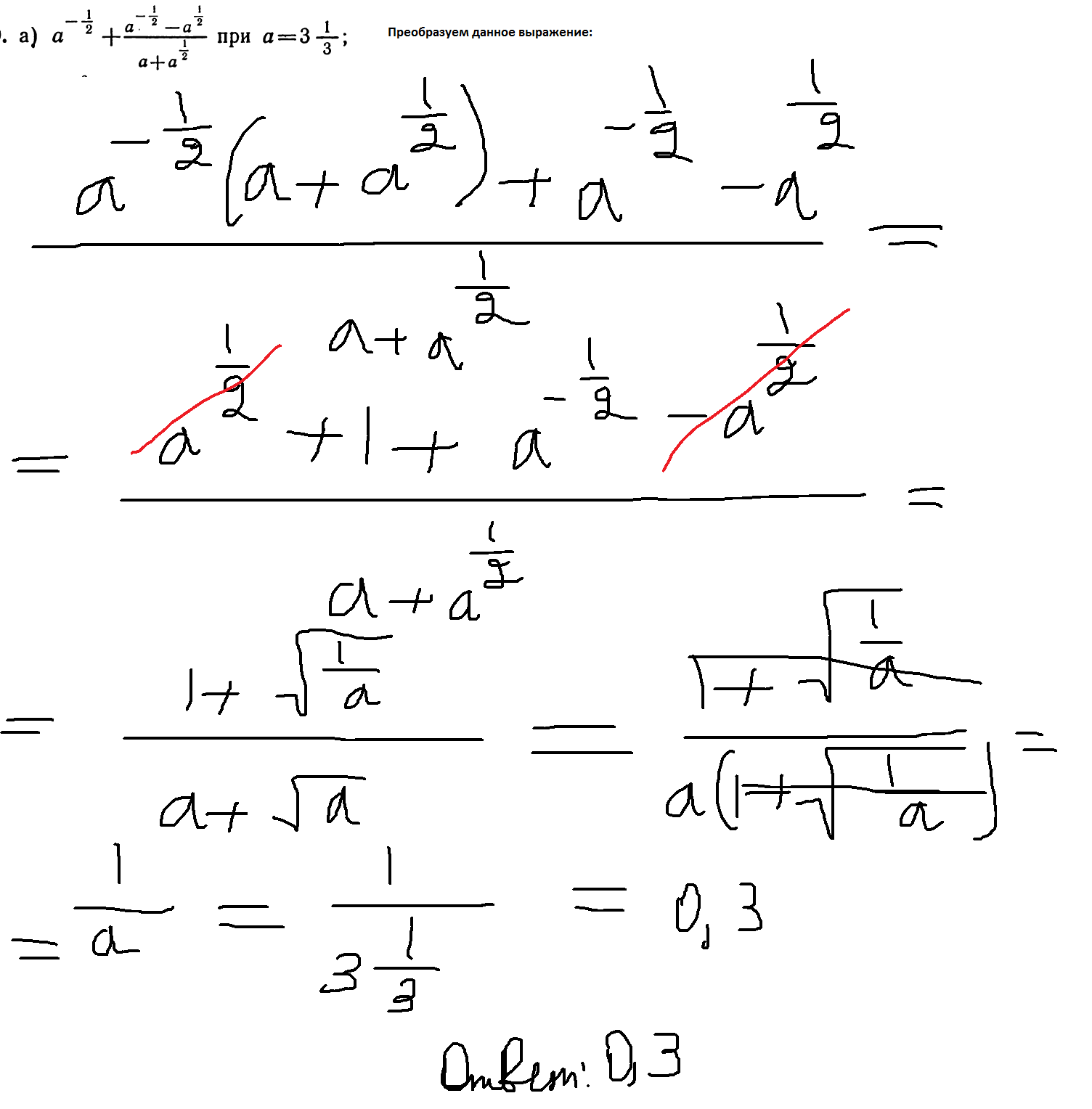
сначала надо упростить выражение до дроби frac{1}{a},

 

а затем подставить а= 3 frac{1}{3} :

 

1/ frac{10}{3} = frac{3}{10} = 0,3

 

Ответ. 0,3

 

Ответ дал: roperd
0

Решение оформлено в картинке, расположенной ниже...

Приложения:
Вас заинтересует