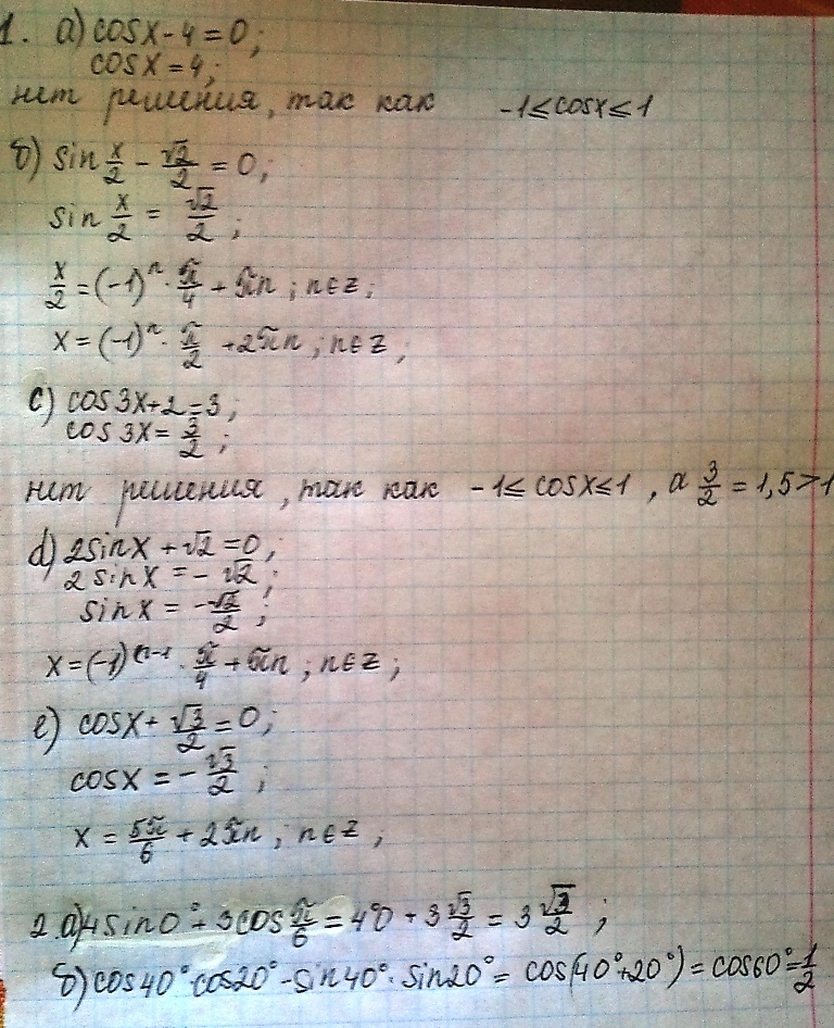
1 решите уравнения плиизззз
а) cosx-4=0
b) sin x/2-корень из 2-х деленое на два=0
c)cos 3x+2=3
d) 2sinx+ корень из двух=0
e) cosx+корень из 3 деленое2=0
2 *---звездочка значит градусы
a) 4sin0*+3 умножить cos пи деленное на шесть
b) cos 40* умножить cos 20*-sin 40* умножитьsin 20*
Ответы
а) cosx-4=0
cosx=4
решений нет, т.к. |cosx|<=1, а 4>1
b) sin x/2-sqrt{2}/2=0
sinx/2=sqrt{2}/2
x/2=(-1)^n *pi/4 +pi*n
x=(-1)^n *pi/2 +2pi*n, n принадлежит Z
c)cos 3x+2=3
cos3x=3/2
решений нет, т.к. |cos3x|<=1 а 3/2=1,5>1
d) 2sinx+ sqrt{2}=0
2sinx=-sqrt{2}
sinx=-sqrt{2}/2
x=(-1)^(n-1)*pi/4+pi*n,n принадлежит Z
e) cosx+sqrt{3}/2=0
cosx=-sqrt{3}/2
x=pi-pi/6 +2pi*n
x=5pi/6 +2pi*n, n принадлежит Z
a) 4sin0+3 cos (pi/6) =4*0+3sqrt{3}/2=3sqrt{3}/2
b) cos 40 cos 20-sin 40sin 20=cos(40+20)=cos60=1/2
Решение во вложении:
............................
