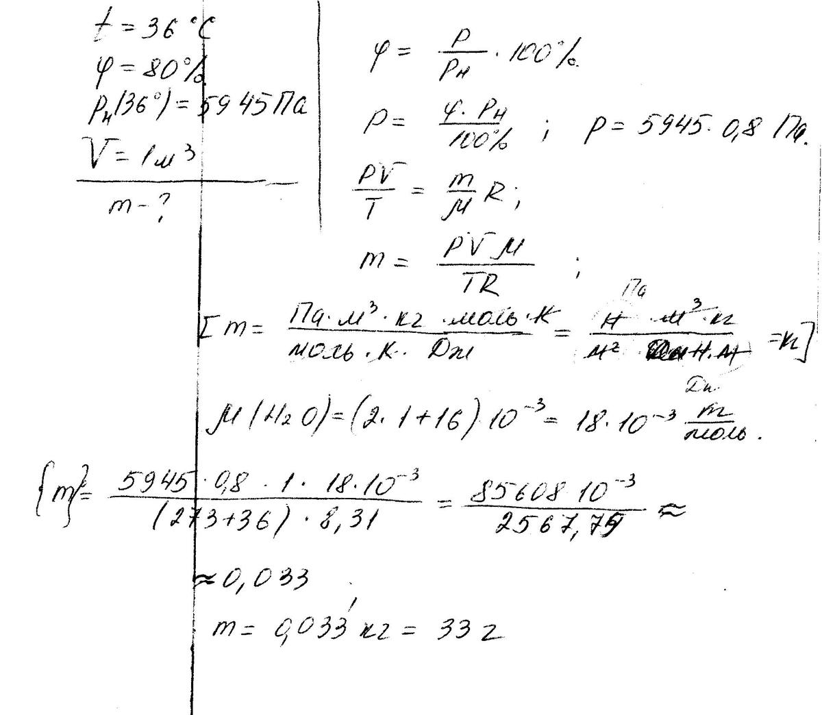
Относительная влажность воздуха при температуре 36 С равна 80%.Давление насыщеного пара при этой температуре равно 5945 Па.Какая масса пара содержится в 1 м3 этого воздуха?
Ответы
Ответ дал:
0
Через относительную влажность воздуха можно найти давление водяного пара. Через уравнение Менделеева-Клапейрона - массу.
Решение прилагается.
Приложения:

Вас заинтересует
2 года назад
2 года назад
8 лет назад
8 лет назад
10 лет назад
10 лет назад
10 лет назад