Ответы
Ответ дал:
0
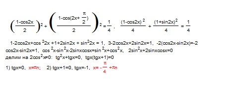
использованы формулы понижения степени, формула приведения, основное тригонометрическое тождество, формулы двойного угла.
Приложения:

Вас заинтересует
2 года назад
2 года назад
8 лет назад
8 лет назад
10 лет назад
10 лет назад
10 лет назад