• Предмет: Алгебра
  • Автор: alisa125642
  • Вопрос задан 10 лет назад

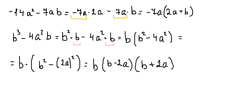
Разложите многочлен на множители а)-14a^2-7ab б)b^3-4a^2b          пожалуйста решите 

Ответы

Ответ дал: esmilya
0
Если понравилось решение - нажимай "спасибо" и "лучший" (рядом с кнопкой "спасибо") :)
Приложения:
Вас заинтересует