• Предмет: Алгебра
  • Автор: vanek5590
  • Вопрос задан 10 лет назад

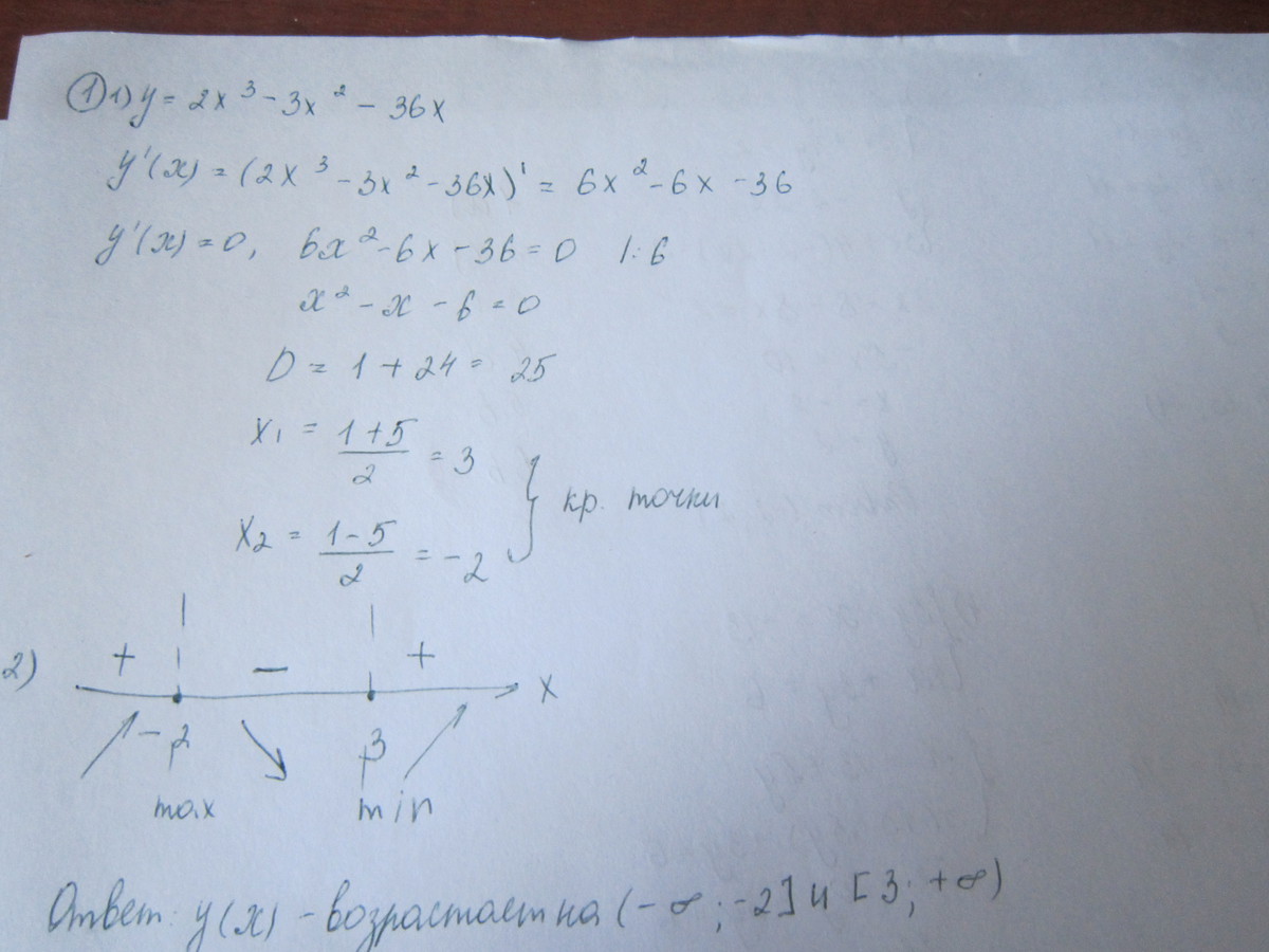
 1)найти промежутки возрастания функции y=2x^3-3x^2-36x
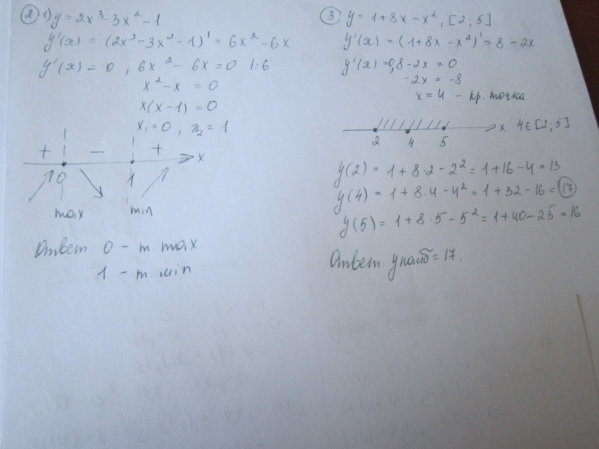
2) найти точки экстремума функции y=2x^3-3x^2-1
3) найти наибольшее значение функции y=1+8x-x^2 на промежутке [2;5]

Ответы

Ответ дал: русская25
0
Решение на фото....)
Приложения:
Вас заинтересует