Ответы
Ответ дал:
0
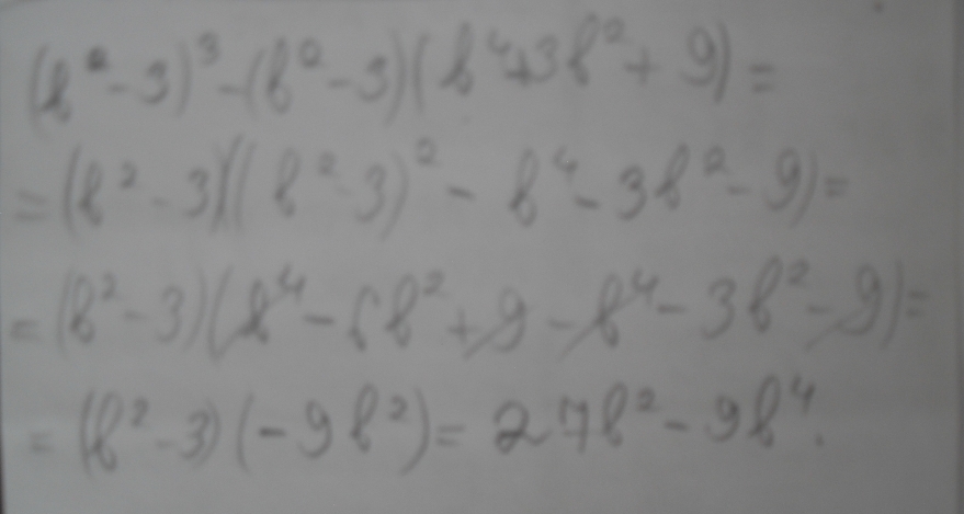
В ответе можно выносить общий множитель 9b² за скобки, а можно оставить так)
Приложения:

Ответ дал:
0
(b^2-3)^3-(b^2-3)(b^4+3b^2+9)=(b^2-3)^3-(b^6-27)=b^6-9b^4+27b^2-27-b^6+27=27b^2-9b^4=9b^2(3-b^2)
Приложения:

Вас заинтересует
2 года назад
8 лет назад
8 лет назад
10 лет назад
10 лет назад