• Предмет: Алгебра
  • Автор: midykova67
  • Вопрос задан 10 лет назад

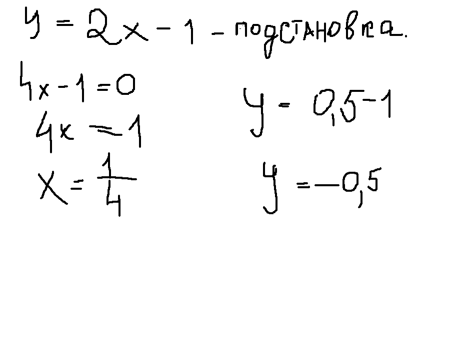
укажите пару чисел которая является решением системы уравнений  2х+у=0 и 2х-у=1 помогите решить 

Ответы

Ответ дал: irina86rus
0
Ответ: минус 0,5 и одна четвертая
Приложения:
Вас заинтересует