• Предмет: Алгебра
  • Автор: zerirshat
  • Вопрос задан 10 лет назад

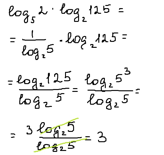
найдите значение выражения log5 2 log2 125

Ответы

Ответ дал: esmilya
0
Если понравилось решение - нажимай "спасибо" и "лучший" (рядом с кнопкой "спасибо") :)
Приложения:
Вас заинтересует