Ответы
Ответ дал:
0
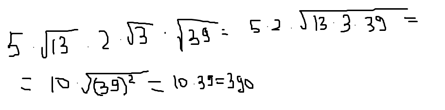
√25*13 * √4*3 *√39= √325*√12*√39=√152100=390
Ответ дал:
0
......................................
Приложения:

Вас заинтересует
2 года назад
7 лет назад
7 лет назад
10 лет назад
10 лет назад